Официальное опубликование правовых актов
ОФИЦИАЛЬНОЕ ОПУБЛИКОВАНИЕ
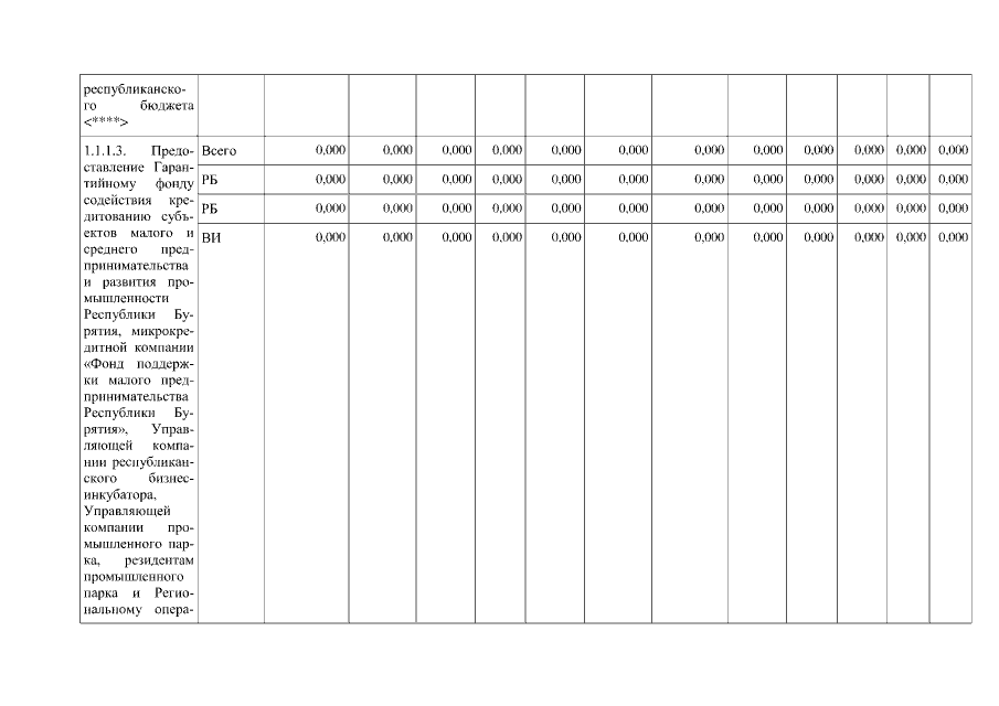
Постановление Правительства Республики Бурятия от 26.05.2021 № 256
"О внесении изменений в постановление Правительства Республики Бурятия от 28.03.2013 № 151 "Об утверждении Государственной программы Республики Бурятия "Развитие промышленности, малого и среднего предпринимательства и торговли"
Номер опубликования: 0300202105310007
Дата опубликования: 31.05.2021
Страница №120 из 144:
Увеличить