Официальное опубликование правовых актов
ОФИЦИАЛЬНОЕ ОПУБЛИКОВАНИЕ
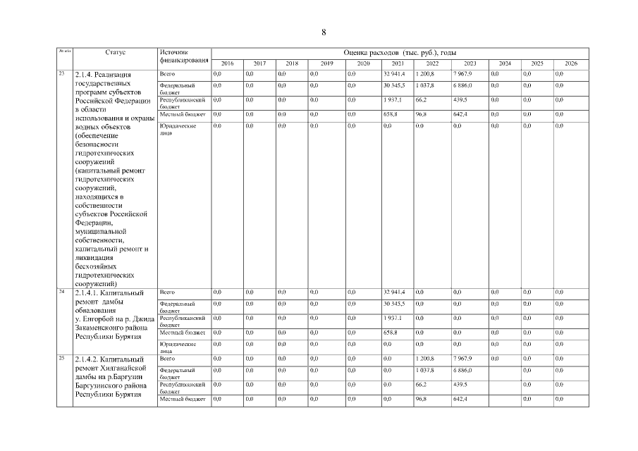
Постановление Правительства Республики Бурятия от 20.05.2021 № 232
"О внесении изменений в постановление Правительства Республики Бурятия от 30.05.2013 № 261 "О Государственной программе Республики Бурятия "Охрана окружающей среды и рациональное использование природных ресурсов"
Номер опубликования: 0300202105250010
Дата опубликования: 25.05.2021
Страница №32 из 107:
Увеличить