Официальное опубликование правовых актов
ОФИЦИАЛЬНОЕ ОПУБЛИКОВАНИЕ
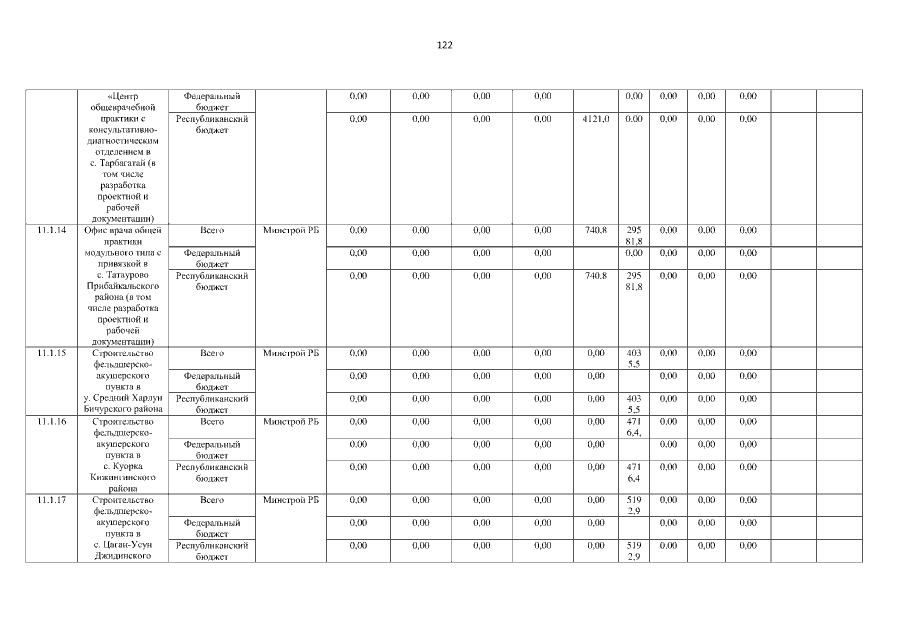
Постановление Правительства Республики Бурятия от 30.04.2021 № 208
"О внесении изменений в постановление Правительства Республики Бурятии от 02.07.2013 № 342 "Об утверждении Государственной программы Республики Бурятия "Развитие здравоохранения"
Номер опубликования: 0300202105060031
Дата опубликования: 06.05.2021
Страница №133 из 162:
Увеличить