Официальное опубликование правовых актов
ОФИЦИАЛЬНОЕ ОПУБЛИКОВАНИЕ
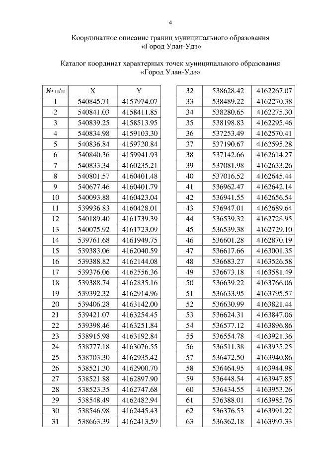
Закон Республики Бурятия от 30.04.2021 № 1467-VI
"О внесении изменений в приложения к Закону Республики Бурятия "Об установлении границ, образовании и наделении статусом муниципальных образований в Республике Бурятия"
Номер опубликования: 0300202105060021
Дата опубликования: 06.05.2021
Страница №4 из 142:
Увеличить