Официальное опубликование правовых актов
ОФИЦИАЛЬНОЕ ОПУБЛИКОВАНИЕ
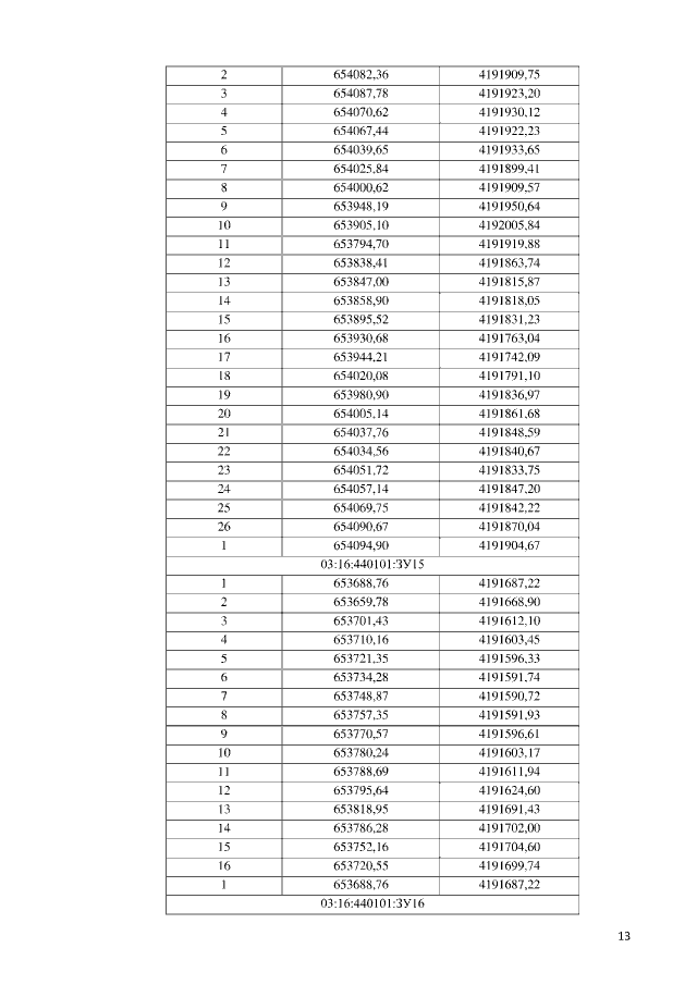
Распоряжение Правительства Республики Бурятия от 16.04.2021 № 169-р
Номер опубликования: 0300202104230016
Дата опубликования: 23.04.2021
Страница №74 из 92:
Увеличить