Официальное опубликование правовых актов
ОФИЦИАЛЬНОЕ ОПУБЛИКОВАНИЕ
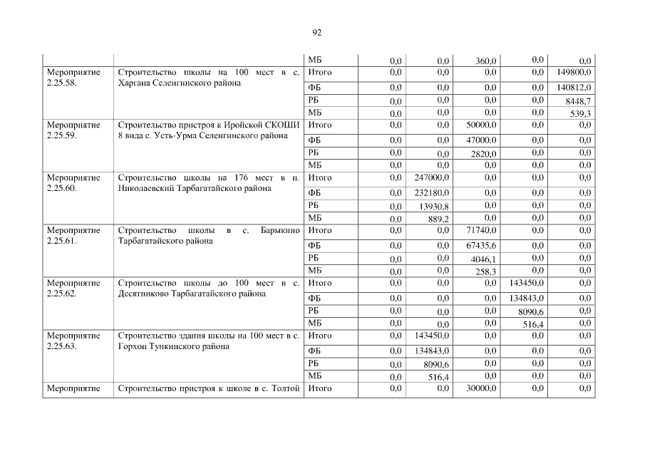
Постановление Правительства Республики Бурятия от 03.03.2021 № 78
"О внесении изменений в постановление Правительства Республики Бурятия от 06.02.2013 № 49 "Об утверждении Государственной программы Республики Бурятия "Развитие образования и науки"
Номер опубликования: 0300202103090021
Дата опубликования: 09.03.2021
Страница №203 из 246:
Увеличить