Официальное опубликование правовых актов
ОФИЦИАЛЬНОЕ ОПУБЛИКОВАНИЕ
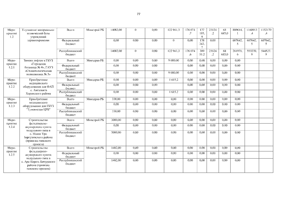
Постановление Правительства Республики Бурятия от 18.02.2021 № 52
"О внесении изменений в постановление Правительства Республики Бурятии от 02.07.2013 № 342 "Об утверждении Государственной программы Республики Бурятия "Развитие здравоохранения"
Номер опубликования: 0300202102240015
Дата опубликования: 24.02.2021
Страница №97 из 154:
Увеличить