Официальное опубликование правовых актов
ОФИЦИАЛЬНОЕ ОПУБЛИКОВАНИЕ
Постановление Правительства Республики Бурятия от 10.02.2021 № 42
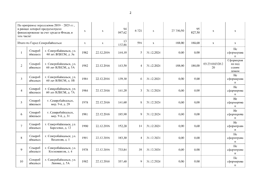
"О внесении изменений в постановление Правительства Республики Бурятия от 05.04.2019 № 170 "Об утверждении Республиканской адресной программы по переселению граждан из аварийного жилищного фонда на территории Республики Бурятия, признанного таковым до 1 января 2017 года, на период 2019 - 2024 годов"
Номер опубликования: 0300202102160014
Дата опубликования: 16.02.2021
Страница №4 из 36:
Увеличить