Официальное опубликование правовых актов
ОФИЦИАЛЬНОЕ ОПУБЛИКОВАНИЕ
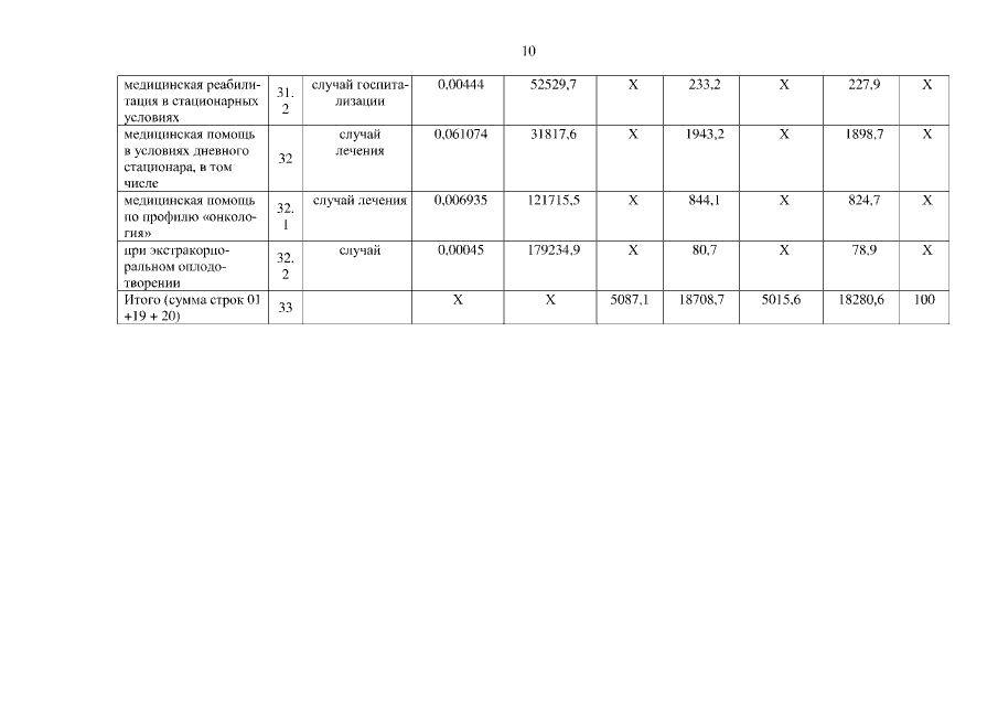
Постановление Правительства Республики Бурятия от 30.12.2020 № 833
"О Программе государственных гарантий бесплатного оказания гражданам медицинской помощи на территории Республики Бурятия на 2021 год и на плановый период 2022 и 2023 годов"
Номер опубликования: 0300202101180005
Дата опубликования: 18.01.2021
Страница №59 из 405:
Увеличить