Официальное опубликование правовых актов
ОФИЦИАЛЬНОЕ ОПУБЛИКОВАНИЕ
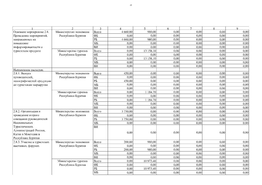
Постановление Правительства Республики Бурятия от 29.12.2020 № 826
"О внесении изменений в постановление Правительства Республики Бурятия от 31.05.2013 № 272 "Об утверждении Государственной программы Республики Бурятия "Экономическое развитие и инновационная экономика"
Номер опубликования: 0300202101020019
Дата опубликования: 02.01.2021
Страница №32 из 56:
Увеличить