Официальное опубликование правовых актов
ОФИЦИАЛЬНОЕ ОПУБЛИКОВАНИЕ
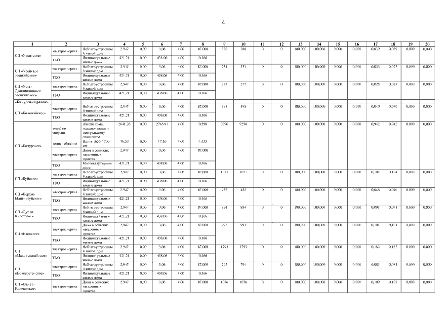
Распоряжение Правительства Республики Бурятия от 01.12.2020 № 735-р
Номер опубликования: 0300202012040011
Дата опубликования: 04.12.2020
Страница №12 из 40:
Увеличить