Официальное опубликование правовых актов
ОФИЦИАЛЬНОЕ ОПУБЛИКОВАНИЕ
Постановление Правительства Республики Бурятия от 23.11.2020 № 702
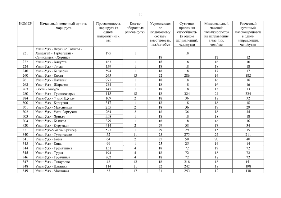
"Об утверждении Программы комплексного развития транспортной инфраструктуры Республики Бурятия и Комплексной схемы организации транспортного обслуживания населения общественным транспортом Республики Бурятия"
Номер опубликования: 0300202011300002
Дата опубликования: 30.11.2020
Страница №817 из 995:
Увеличить