Официальное опубликование правовых актов
ОФИЦИАЛЬНОЕ ОПУБЛИКОВАНИЕ
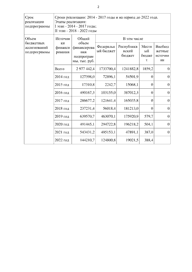
Постановление Правительства Республики Бурятия от 23.10.2020 № 645
"О внесении изменений в постановление Правительства Республики Бурятия от 03.09.2012 № 502 "О Государственной программе Республики Бурятия "Культура Бурятии"
Номер опубликования: 0300202010270009
Дата опубликования: 27.10.2020
Страница №17 из 103:
Увеличить