Официальное опубликование правовых актов
ОФИЦИАЛЬНОЕ ОПУБЛИКОВАНИЕ
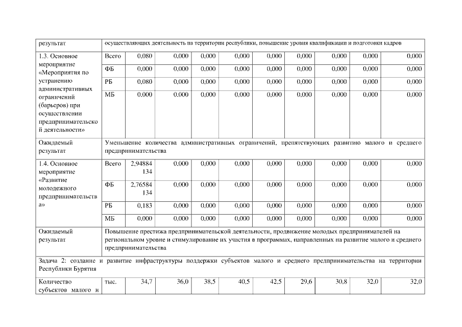
Постановление Правительства Республики Бурятия от 07.04.2020 № 180
"О внесении изменений в постановление Правительства Республики Бурятия от 28.03.2013 № 151 "Об утверждении Государственной программы Республики Бурятия "Развитие промышленности, малого и среднего предпринимательства и торговли"
Номер опубликования: 0300202004100007
Дата опубликования: 10.04.2020
Страница №38 из 117:
Увеличить