Официальное опубликование правовых актов
ОФИЦИАЛЬНОЕ ОПУБЛИКОВАНИЕ
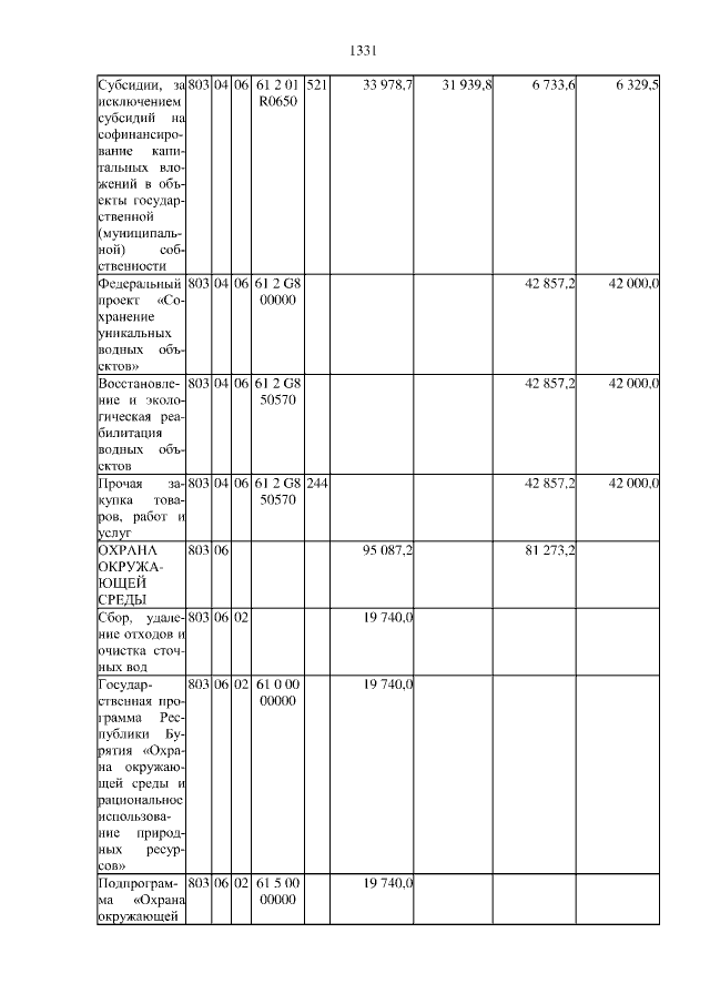
Закон Республики Бурятия от 13.03.2020 № 907-VI
"О внесении изменений в Закон Республики Бурятия "О республиканском бюджете на 2020 год и на плановый период 2021 и 2022 годов"
Номер опубликования: 0300202003230003
Дата опубликования: 23.03.2020
Страница №1331 из 1969:
Увеличить