Официальное опубликование правовых актов
ОФИЦИАЛЬНОЕ ОПУБЛИКОВАНИЕ
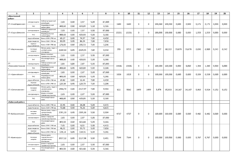
Распоряжение Правительства Республики Бурятия от 28.11.2019 № 713-р
Номер опубликования: 0300201912020005
Дата опубликования: 02.12.2019
Страница №20 из 36:
Увеличить