Официальное опубликование правовых актов
ОФИЦИАЛЬНОЕ ОПУБЛИКОВАНИЕ
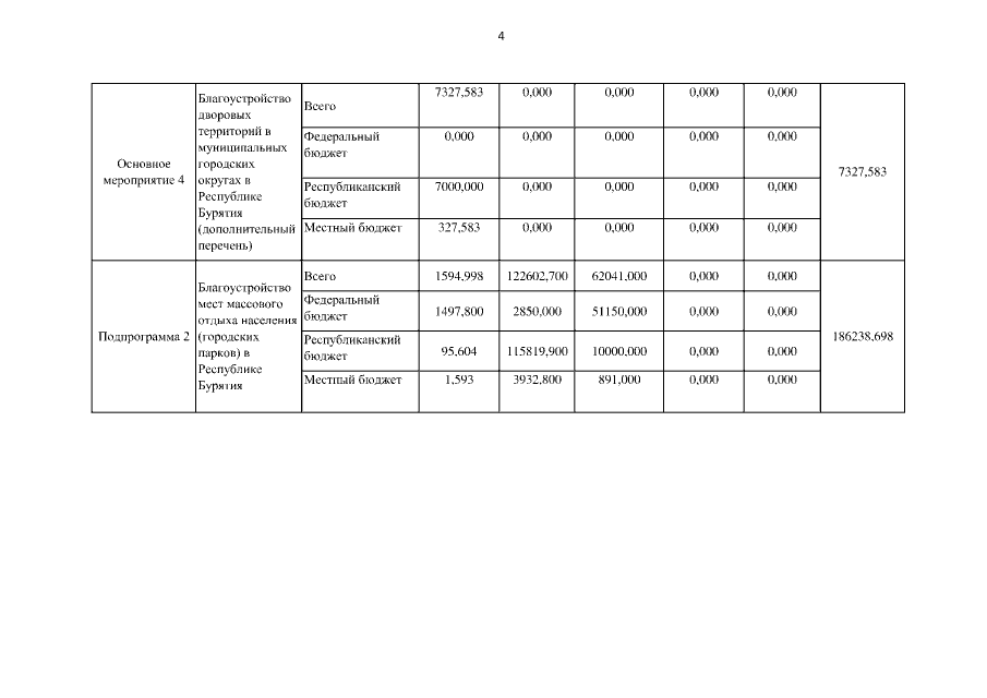
Постановление Правительства Республики Бурятия от 13.11.2019 № 602
"О внесении изменений в постановление Правительства Республики Бурятия от 25.10.2017 № 516 "Об утверждении Государственной программы Республики Бурятия "Формирование комфортной городской среды на 2018 - 2022 годы"
Номер опубликования: 0300201911150005
Дата опубликования: 15.11.2019
Страница №6 из 48:
Увеличить