Постановление Правительства Республики Бурятия от 22.10.2019 № 571
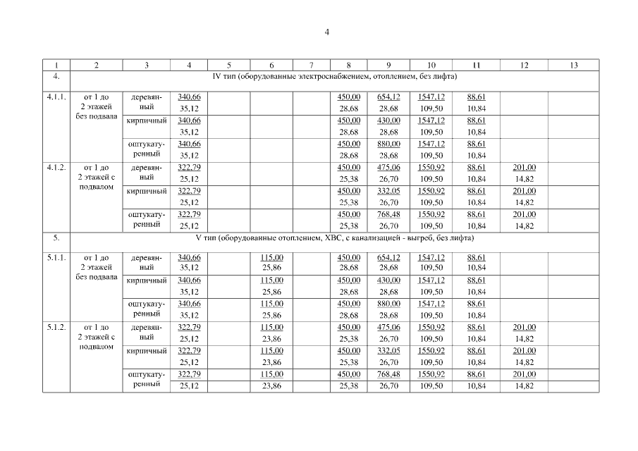
"Об установлении минимального размера взноса на капитальный ремонт общего имущества в многоквартирных домах на территории Республики Бурятия на 2020 год, утверждении размера предельной стоимости и минимального перечня услуг и (или) работ по капитальному ремонту общего имущества в многоквартирных домах на территории Республики Бурятия (по типам многоквартирных домов) на 2020 год"
"Об установлении минимального размера взноса на капитальный ремонт общего имущества в многоквартирных домах на территории Республики Бурятия на 2020 год, утверждении размера предельной стоимости и минимального перечня услуг и (или) работ по капитальному ремонту общего имущества в многоквартирных домах на территории Республики Бурятия (по типам многоквартирных домов) на 2020 год"
Номер опубликования: 0300201910230003
Дата опубликования:
23.10.2019
