Официальное опубликование правовых актов
ОФИЦИАЛЬНОЕ ОПУБЛИКОВАНИЕ
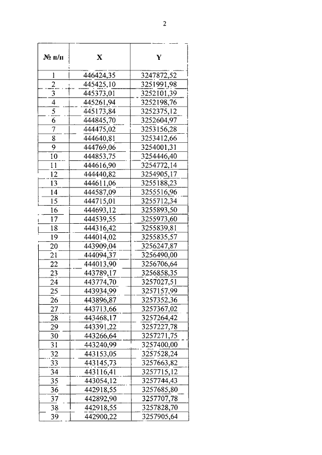
Закон Республики Бурятия от 04.10.2019 № 603-VI
"О внесении изменения в приложение 259 к Закону Республики Бурятия "Об установлении границ, образовании и наделении статусом муниципальных образований в Республике Бурятия"
Номер опубликования: 0300201910080038
Дата опубликования: 08.10.2019
Страница №2 из 9:
Увеличить