Официальное опубликование правовых актов
ОФИЦИАЛЬНОЕ ОПУБЛИКОВАНИЕ
Постановление Правительства Республики Бурятия от 14.08.2019 № 452
"О внесении изменений в некоторые нормативные правовые акты Правительства Республике Бурятия"
Номер опубликования: 0300201908160005
Дата опубликования: 16.08.2019
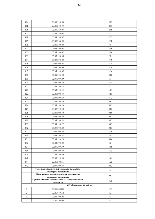
Страница №16 из 55:
Увеличить