Официальное опубликование правовых актов
ОФИЦИАЛЬНОЕ ОПУБЛИКОВАНИЕ
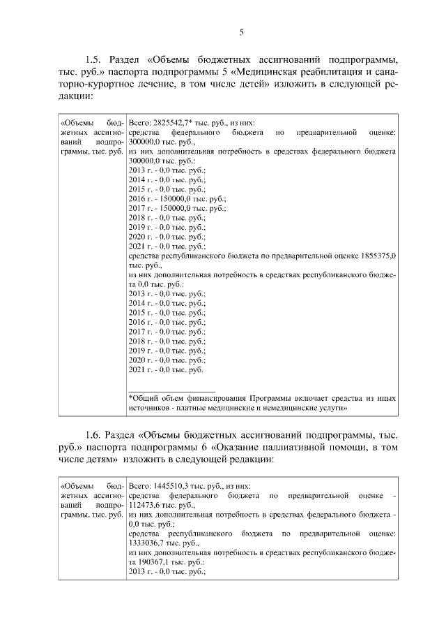
Постановление Правительства Республики Бурятия от 05.08.2019 № 426
"О внесении изменений в постановление Правительства Республики Бурятии от 02.07.2013 № 342 "Об утверждении Государственной программы Республики Бурятия "Развитие здравоохранения"
Номер опубликования: 0300201908080009
Дата опубликования: 08.08.2019
Страница №5 из 131:
Увеличить