Официальное опубликование правовых актов
ОФИЦИАЛЬНОЕ ОПУБЛИКОВАНИЕ
Постановление Правительства Республики Бурятия от 28.06.2019 № 355
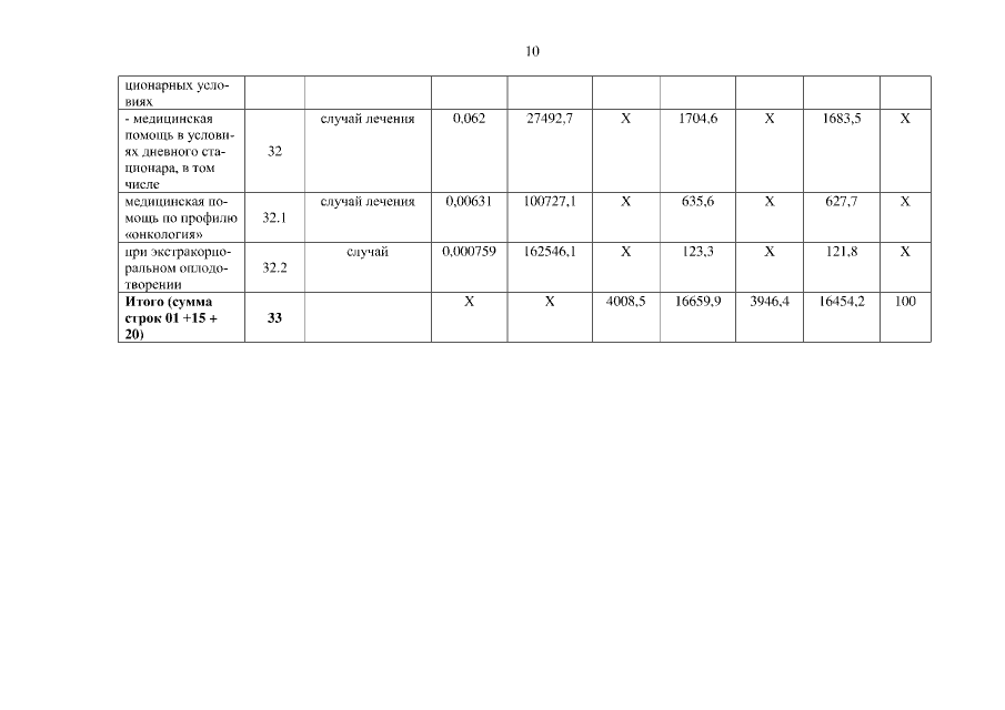
"О внесении изменений в постановление Правительства Республики Бурятия от 27.12.2018 № 762 "О Программе государственных гарантий бесплатного оказания гражданам медицинской помощи на территории Республики Бурятия на 2019 год и на плановый период 2020 и 2021 годов"
Номер опубликования: 0300201907050002
Дата опубликования: 05.07.2019
Страница №29 из 130:
Увеличить