Официальное опубликование правовых актов
ОФИЦИАЛЬНОЕ ОПУБЛИКОВАНИЕ
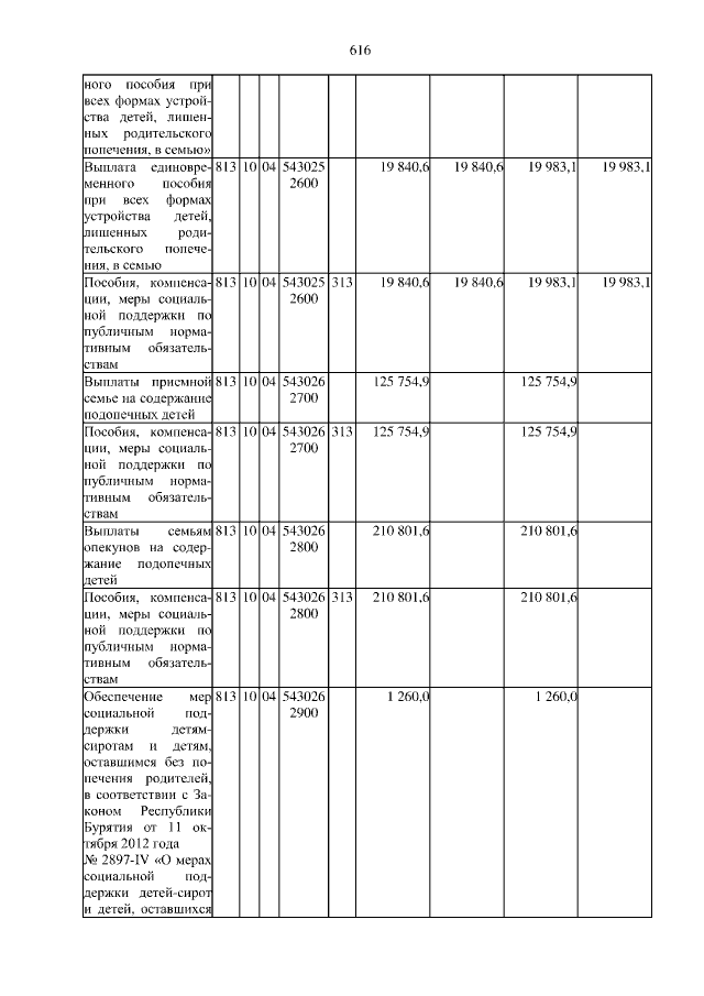
Закон Республики Бурятия от 28.06.2019 № 540-VI
"О внесении изменений в Закон Республики Бурятия "О республиканском бюджете на 2019 год и на плановый период 2020 и 2021 годов"
Номер опубликования: 0300201907020011
Дата опубликования: 02.07.2019
Страница №616 из 766:
Увеличить