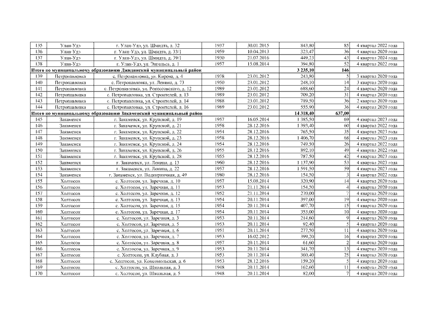
Постановление Правительства Республики Бурятия от 13.06.2019 № 311
"О внесении изменений в постановление Правительства Республики Бурятия от 05.04.2019 № 170 "Об утверждении Региональной адресной программы Республики Бурятия по переселению граждан из аварийного жилищного фонда, признанного таковым до 1 января 2017 года, на период 2019 - 2024 годов"
"О внесении изменений в постановление Правительства Республики Бурятия от 05.04.2019 № 170 "Об утверждении Региональной адресной программы Республики Бурятия по переселению граждан из аварийного жилищного фонда, признанного таковым до 1 января 2017 года, на период 2019 - 2024 годов"
Номер опубликования: 0300201906140010
Дата опубликования:
14.06.2019
