Официальное опубликование правовых актов
ОФИЦИАЛЬНОЕ ОПУБЛИКОВАНИЕ
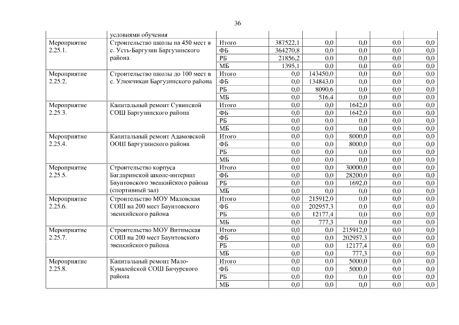
Постановление Правительства Республики Бурятия от 20.11.2018 № 645
"О внесении изменений в постановление Правительства Республики Бурятия от 06.02.2013 № 49 "Об утверждении Государственной программы Республики Бурятия "Развитие образования и науки"
Номер опубликования: 0300201811230002
Дата опубликования: 23.11.2018
Страница №99 из 133:
Увеличить