Официальное опубликование правовых актов
ОФИЦИАЛЬНОЕ ОПУБЛИКОВАНИЕ
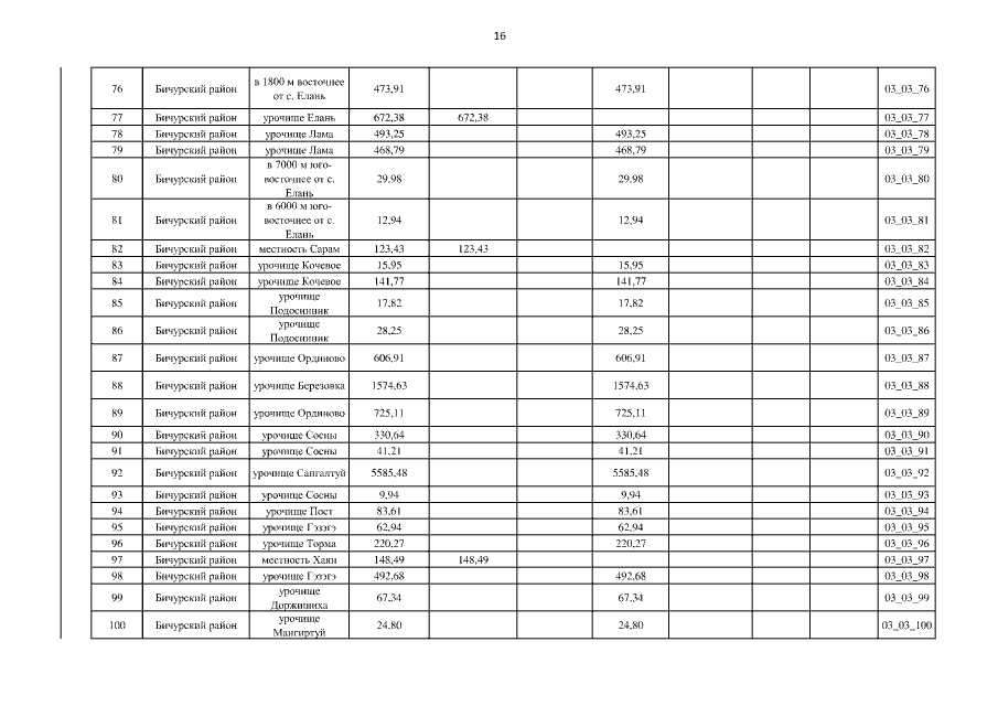
Постановление Правительства Республики Бурятия от 07.03.2018 № 111
"О внесении изменений в постановление Правительства Республики Бурятия от 20.12.2012 № 772 "Об утверждении Перечня особо ценных продуктивных сельскохозяйственных угодий, расположенных на территории Республики Бурятия, использование которых для целей, не связанных с ведением сельского хозяйства, не допускается"
Номер опубликования: 0300201803140029
Дата опубликования: 14.03.2018
Страница №18 из 173:
Увеличить