Официальное опубликование правовых актов
ОФИЦИАЛЬНОЕ ОПУБЛИКОВАНИЕ
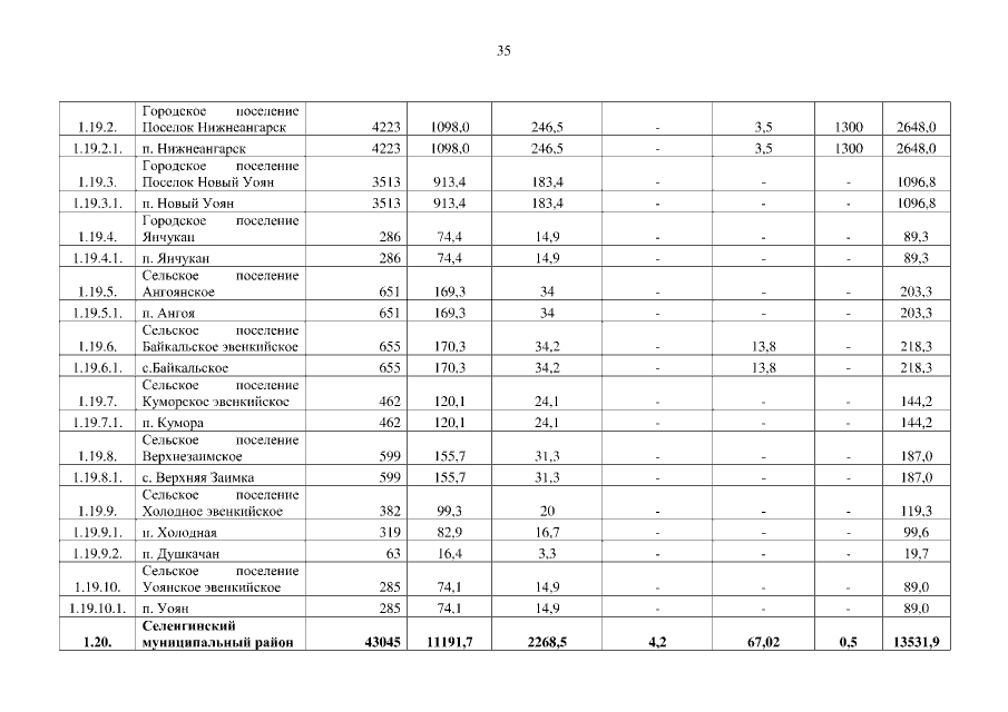
Постановление Правительства Республики Бурятия от 14.02.2018 № 71
"О внесении изменений в постановление Правительства Республики Бурятия от 29.11.2016 № 540 "Об утверждении Территориальной схемы в области обращения с отходами, в том числе с твердыми коммунальными отходами, Республики Бурятия"
Номер опубликования: 0300201802190023
Дата опубликования: 19.02.2018
Страница №98 из 307:
Увеличить