Официальное опубликование правовых актов
ОФИЦИАЛЬНОЕ ОПУБЛИКОВАНИЕ
Постановление Правительства Республики Бурятия от 06.06.2017 № 275
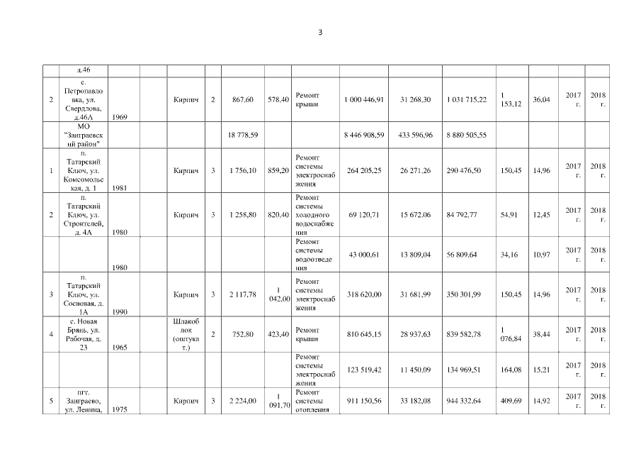
"О внесении изменений в постановление Правительства Республики Бурятия от 18.07.2016 № 320 "Об утверждении Республиканского краткосрочного плана реализации Республиканской программы "Капитальный ремонт общего имущества в многоквартирных домах, расположенных на территории Республики Бурятия, на 2014 - 2043 годы" на 2017 год"
Номер опубликования: 0300201706130010
Дата опубликования: 13.06.2017
Страница №5 из 122:
Увеличить