Официальное опубликование правовых актов
ОФИЦИАЛЬНОЕ ОПУБЛИКОВАНИЕ
Постановление Правительства Республики Бурятия от 02.06.2017 № 270
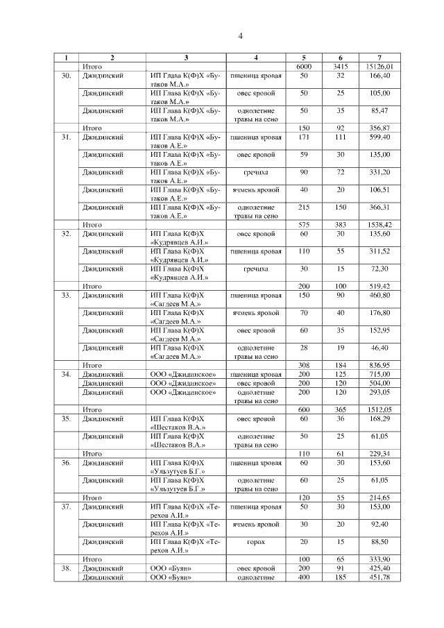
"О порядке предоставления субсидий на компенсацию сельскохозяйственным товаропроизводителям ущерба, причиненного в 2016 году в результате чрезвычайной ситуации природного характера"
Номер опубликования: 0300201706050002
Дата опубликования: 05.06.2017
Страница №9 из 19:
Увеличить