Официальное опубликование правовых актов
ОФИЦИАЛЬНОЕ ОПУБЛИКОВАНИЕ
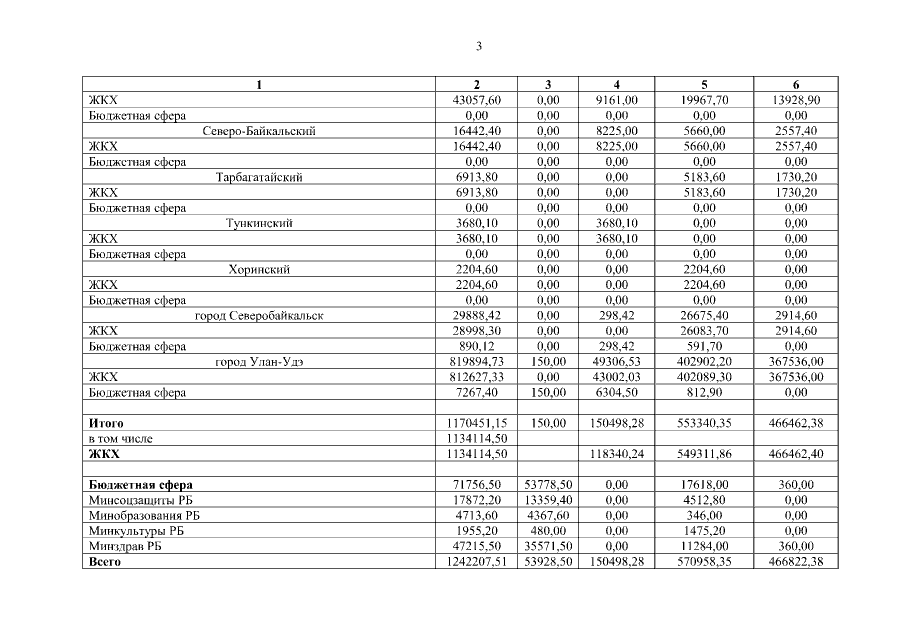
Распоряжение Правительства Республики Бурятия от 19.05.2016 № 272-р
Номер опубликования: 0300201605230014
Дата опубликования: 23.05.2016
Страница №12 из 20:
Увеличить