Официальное опубликование правовых актов
ОФИЦИАЛЬНОЕ ОПУБЛИКОВАНИЕ
Распоряжение Правительства Республики Бурятия от 08.04.2016 № 182-р
Номер опубликования: 0300201604110006
Дата опубликования: 11.04.2016
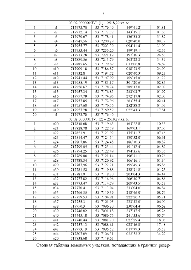
Страница №9 из 11:
Увеличить