Официальное опубликование правовых актов
ОФИЦИАЛЬНОЕ ОПУБЛИКОВАНИЕ
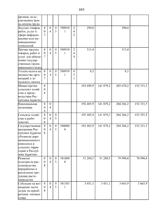
Закон Республики Бурятия от 27.11.2015 № 1532-V
"О внесении изменений в Закон Республики Бурятия "О республиканском бюджете на 2015 год и на плановый период 2016 и 2017 годов"
Номер опубликования: 0300201512010007
Дата опубликования: 01.12.2015
Страница №886 из 1066:
Увеличить