Официальное опубликование правовых актов
ОФИЦИАЛЬНОЕ ОПУБЛИКОВАНИЕ
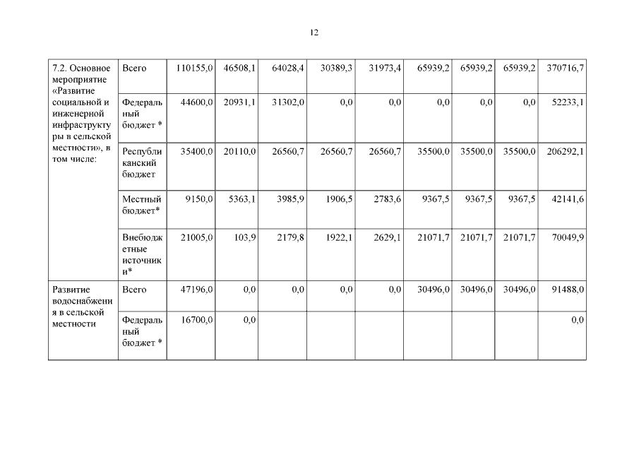
Постановление Правительства Республики Бурятия от 15.07.2015 № 356
"О внесении изменений в постановление Правительства Республики Бурятия от 28.02.2013 № 102 "Об утверждении Государственной программы "Развитие агропромышленного комплекса и сельских территорий в Республике Бурятия"
Номер опубликования: 0300201507160002
Дата опубликования: 16.07.2015
Страница №62 из 69:
Увеличить