Официальное опубликование правовых актов
ОФИЦИАЛЬНОЕ ОПУБЛИКОВАНИЕ
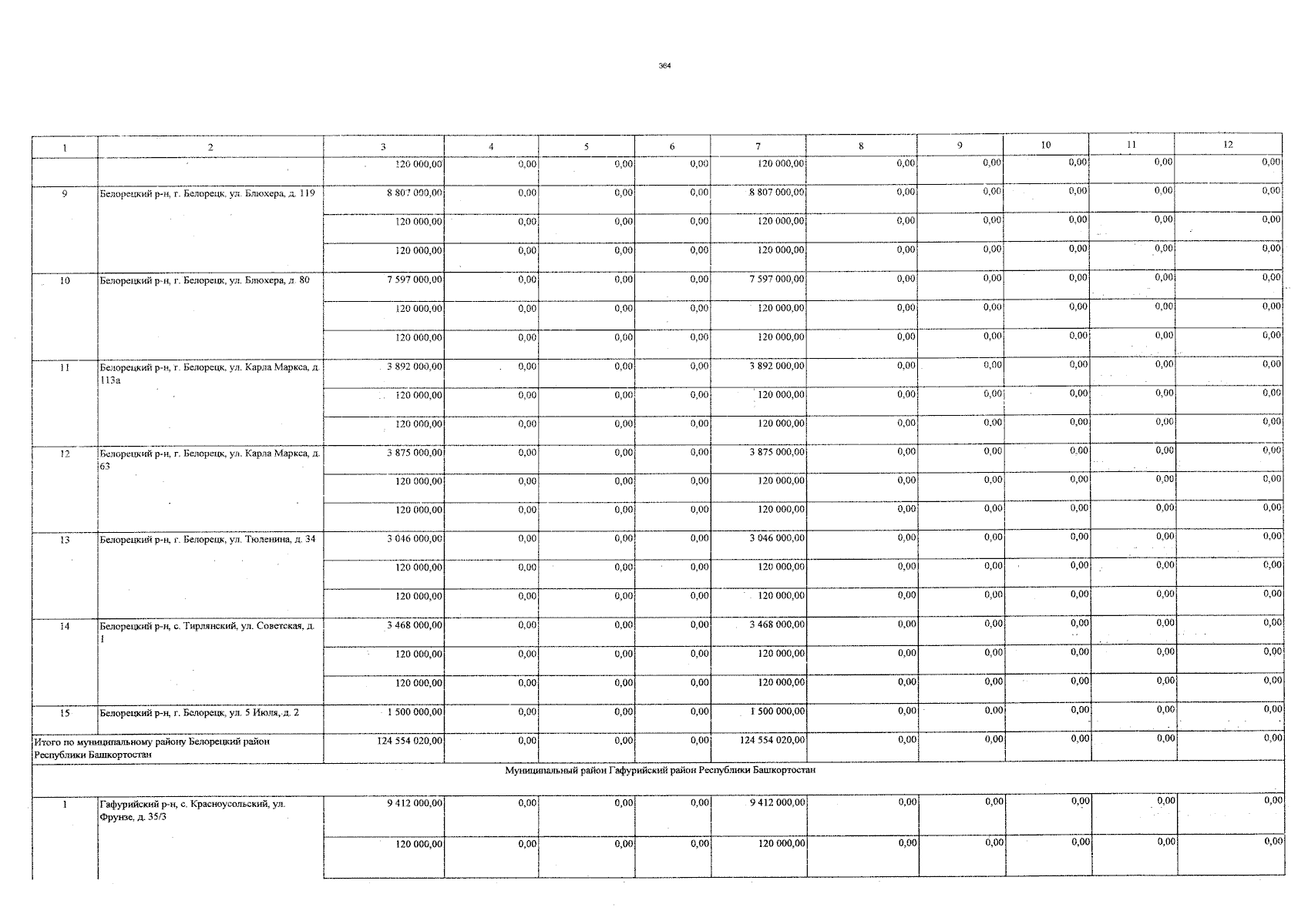
Приказ Министерства жилищно-коммунального хозяйства Республики Башкортостан от 28.05.2025 № М02-97
"Об утверждении краткосрочного плана реализации Республиканской программы капитального ремонта общего имущества в многоквартирных домах, расположенных на территории Республики Башкортостан, на 2026-2028 годы"
(Зарегистрирован 24.07.2025 № 24546)
Номер опубликования: 0201202507300001
Дата опубликования: 30.07.2025
Страница №366 из 447:
Увеличить