Официальное опубликование правовых актов
ОФИЦИАЛЬНОЕ ОПУБЛИКОВАНИЕ
Приказ Управления по государственной охране объектов культурного наследия Республики Башкортостан от 19.07.2024 № 343
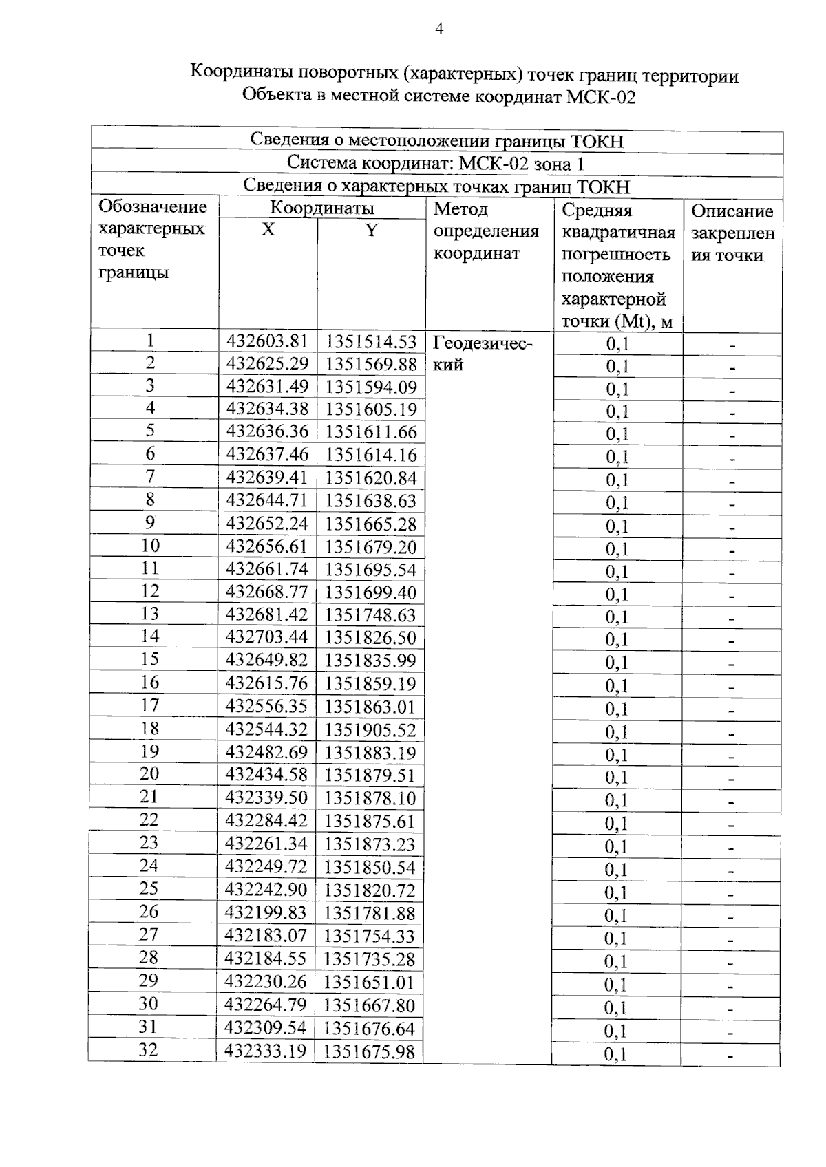
"Об утверждении границ и режима использования территории объекта культурного наследия регионального значения "Парк в с. Ермолаевка", 1850-1860-е гг., расположенного по адресу: Республика Башкортостан, Куюргазинский район, с. Ермолаево (Республика Башкортостан, Куюргазинский район, с. Ермолаево, ул. Парковая)"
(Зарегистрирован 12.08.2024 № 22492)
Номер опубликования: 0201202408200001
Дата опубликования: 20.08.2024
Страница №6 из 9:
Увеличить