Официальное опубликование правовых актов
ОФИЦИАЛЬНОЕ ОПУБЛИКОВАНИЕ
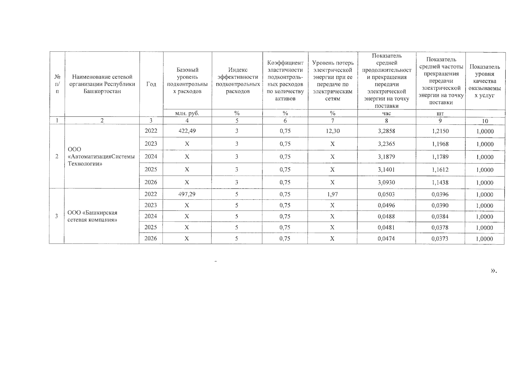
Постановление Государственного комитета Республики Башкортостан по тарифам от 27.06.2024 № 99
"О внесении изменений в постановление Государственного комитета Республики Башкортостан по тарифам от 28 декабря 2021 года № 830 "Об установлении тарифов на услуги по передаче электрической энергии по электрическим сетям, оказываемые территориальными сетевыми организациями Республики Башкортостан"
(Зарегистрирован 01.07.2024 № 22322)
Номер опубликования: 0201202407050020
Дата опубликования: 05.07.2024
Страница №4 из 7:
Увеличить