Официальное опубликование правовых актов
ОФИЦИАЛЬНОЕ ОПУБЛИКОВАНИЕ
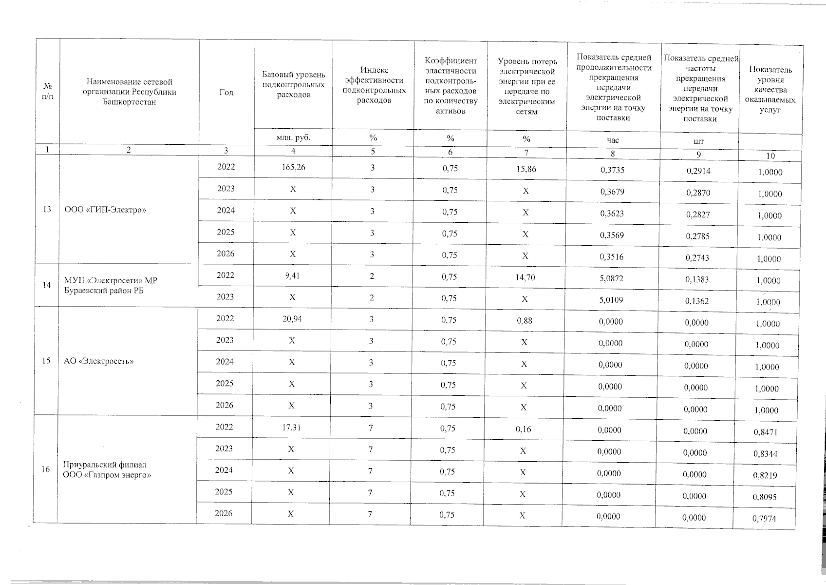
Постановление Государственного комитета Республики Башкортостан по тарифам от 23.11.2023 № 453
"О внесении изменений в постановление Государственного комитета Республики Башкортостан по тарифам от 23 декабря 2021 года № 804 “Об установлении тарифов на услуги по передаче электрической энергии по электрическим сетям, оказываемые территориальными сетевыми организациями Республики Башкортостан”"
(Зарегистрирован 28.11.2023 № 21233)
Номер опубликования: 0201202312040018
Дата опубликования: 04.12.2023
Страница №6 из 25:
Увеличить