Официальное опубликование правовых актов
ОФИЦИАЛЬНОЕ ОПУБЛИКОВАНИЕ
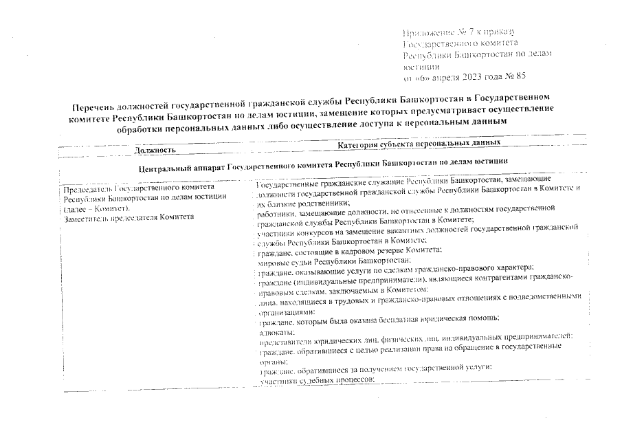
Приказ Государственного комитета Республики Башкортостан по делам юстиции от 06.04.2023 № 85
"Об утверждении документов, направленных на обеспечение работы с персональными данными в Государственном комитете Республики Башкортостан по делам юстиции"
(Зарегистрирован 07.04.2023 № 20206)
Номер опубликования: 0201202304120005
Дата опубликования: 12.04.2023
Страница №58 из 84:
Увеличить