Официальное опубликование правовых актов
ОФИЦИАЛЬНОЕ ОПУБЛИКОВАНИЕ
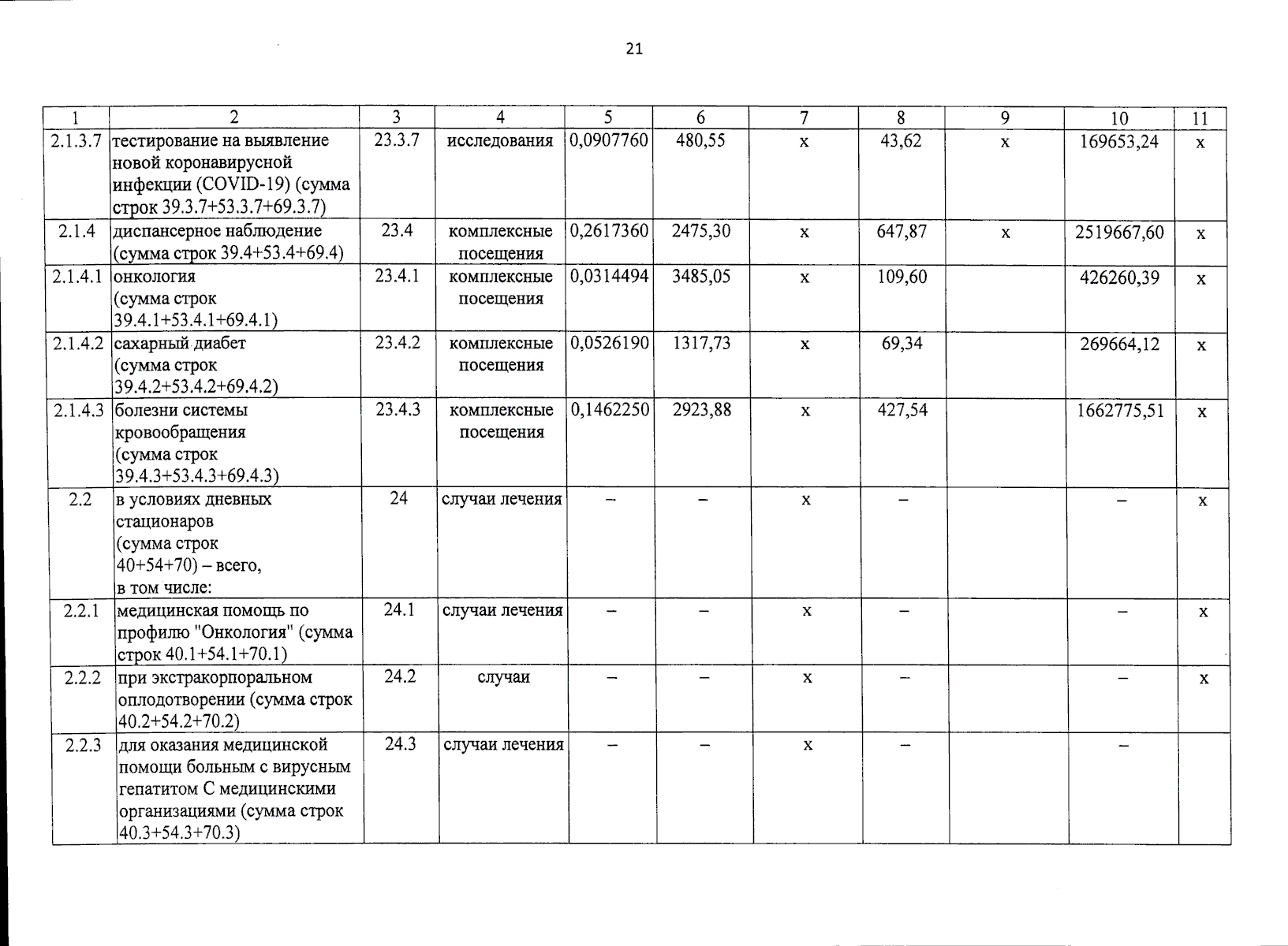
Постановление Правительства Республики Башкортостан от 02.07.2025 № 301
"О внесении изменений в Программу государственных гарантий бесплатного оказания гражданам медицинской помощи в Республике Башкортостан на 2024 год и на плановый период 2025 и 2026 годов"
Номер опубликования: 0200202507070015
Дата опубликования: 07.07.2025
Страница №22 из 54:
Увеличить