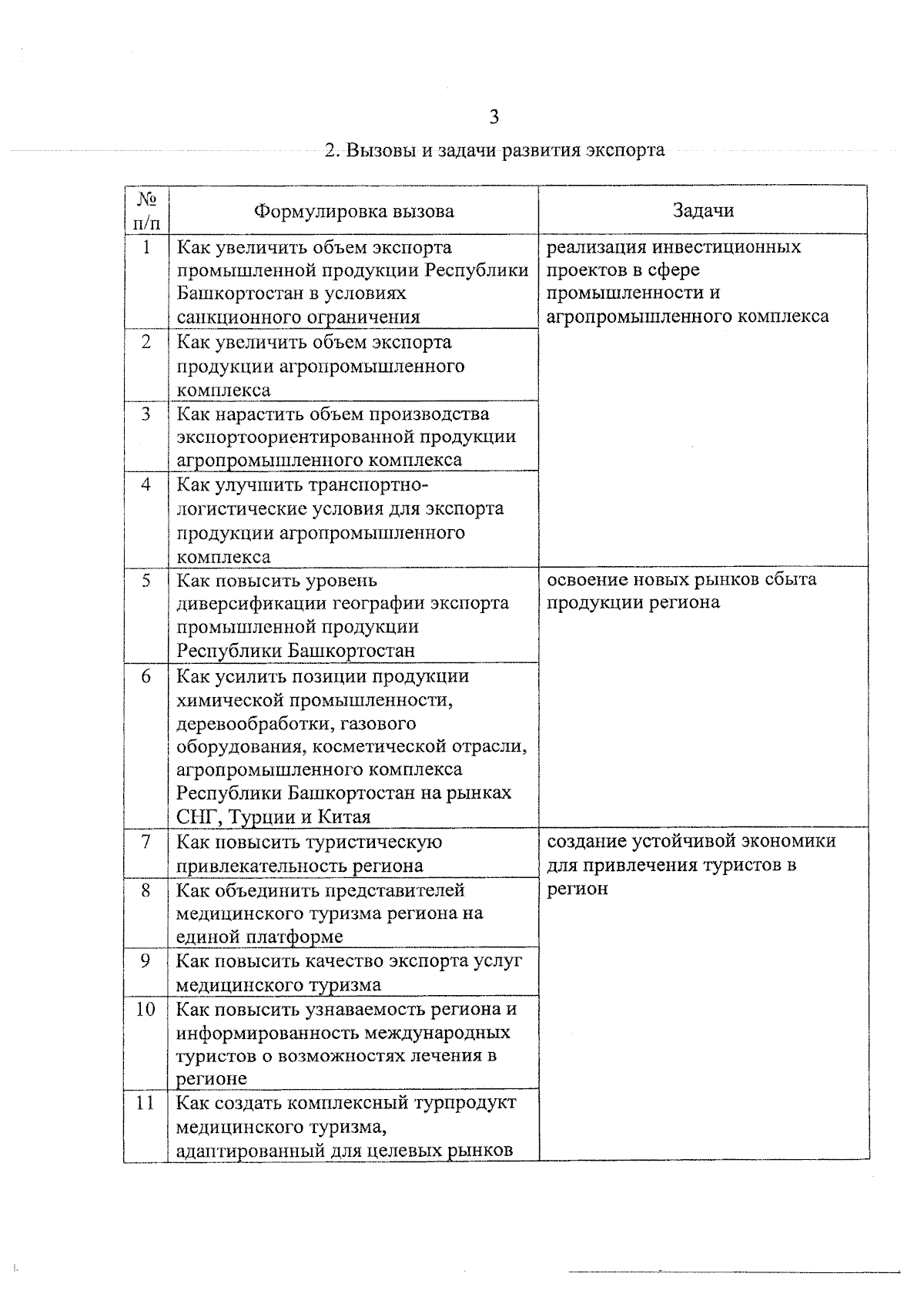
Постановление Правительства Республики Башкортостан от 21.04.2025 № 182
"Об утверждении региональной программы "Развитие экспорта Республики Башкортостан на 2025-2030 годы"
"Об утверждении региональной программы "Развитие экспорта Республики Башкортостан на 2025-2030 годы"
Номер опубликования: 0200202504250005
Дата опубликования:
25.04.2025
