Официальное опубликование правовых актов
ОФИЦИАЛЬНОЕ ОПУБЛИКОВАНИЕ
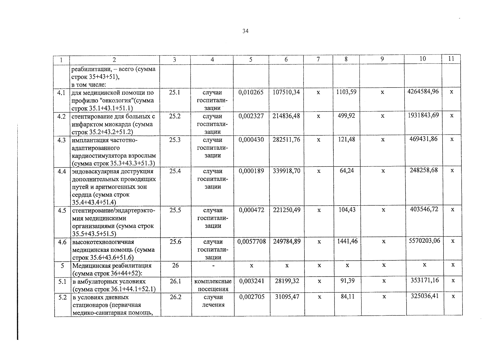
Постановление Правительства Республики Башкортостан от 15.04.2025 № 171
"О внесении изменений в Программу государственных гарантий бесплатного оказания гражданам медицинской помощи в Республике Башкортостан на 2025 год и плановый период 2026 и 2027 годов"
Номер опубликования: 0200202504220001
Дата опубликования: 22.04.2025
Страница №35 из 112:
Увеличить