Официальное опубликование правовых актов
ОФИЦИАЛЬНОЕ ОПУБЛИКОВАНИЕ
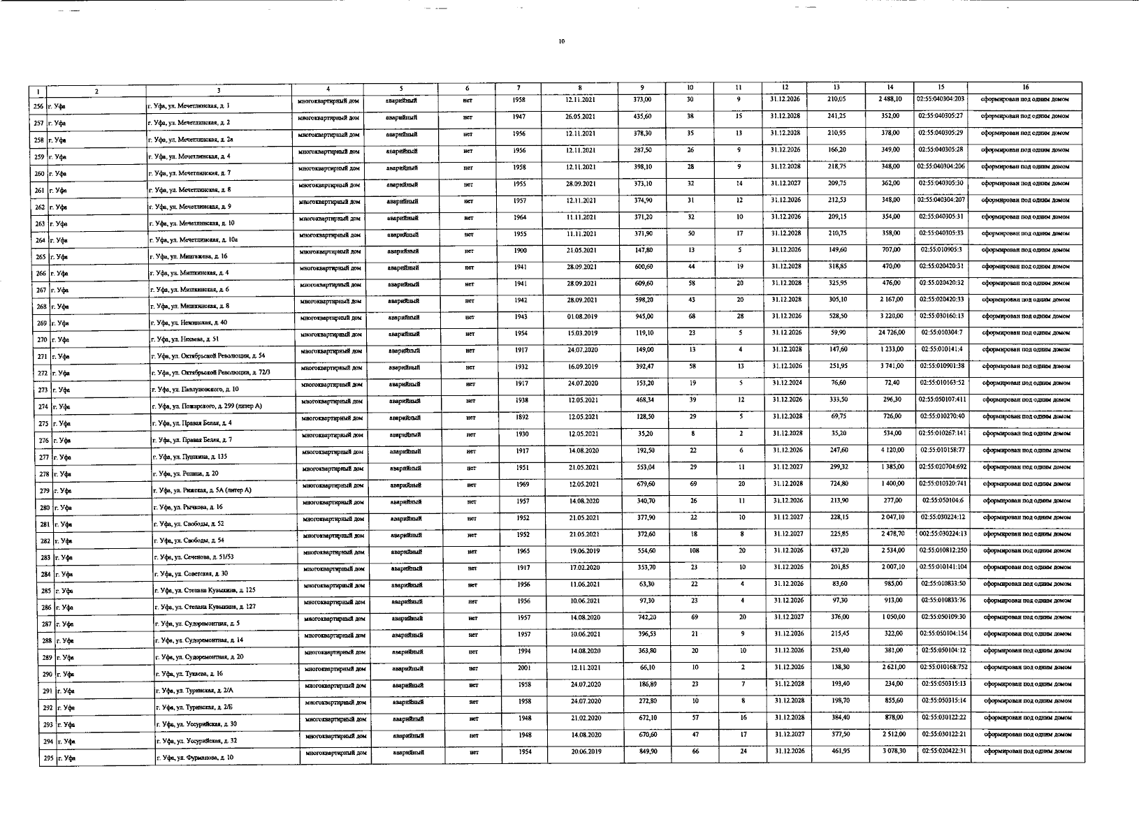
Постановление Правительства Республики Башкортостан от 29.01.2025 № 22
"О внесении изменений в Адресную программу Республики Башкортостан по переселению граждан из аварийного жилищного фонда на 2024-2030 годы"
Номер опубликования: 0200202502050001
Дата опубликования: 05.02.2025
Страница №11 из 28:
Увеличить