Официальное опубликование правовых актов
ОФИЦИАЛЬНОЕ ОПУБЛИКОВАНИЕ
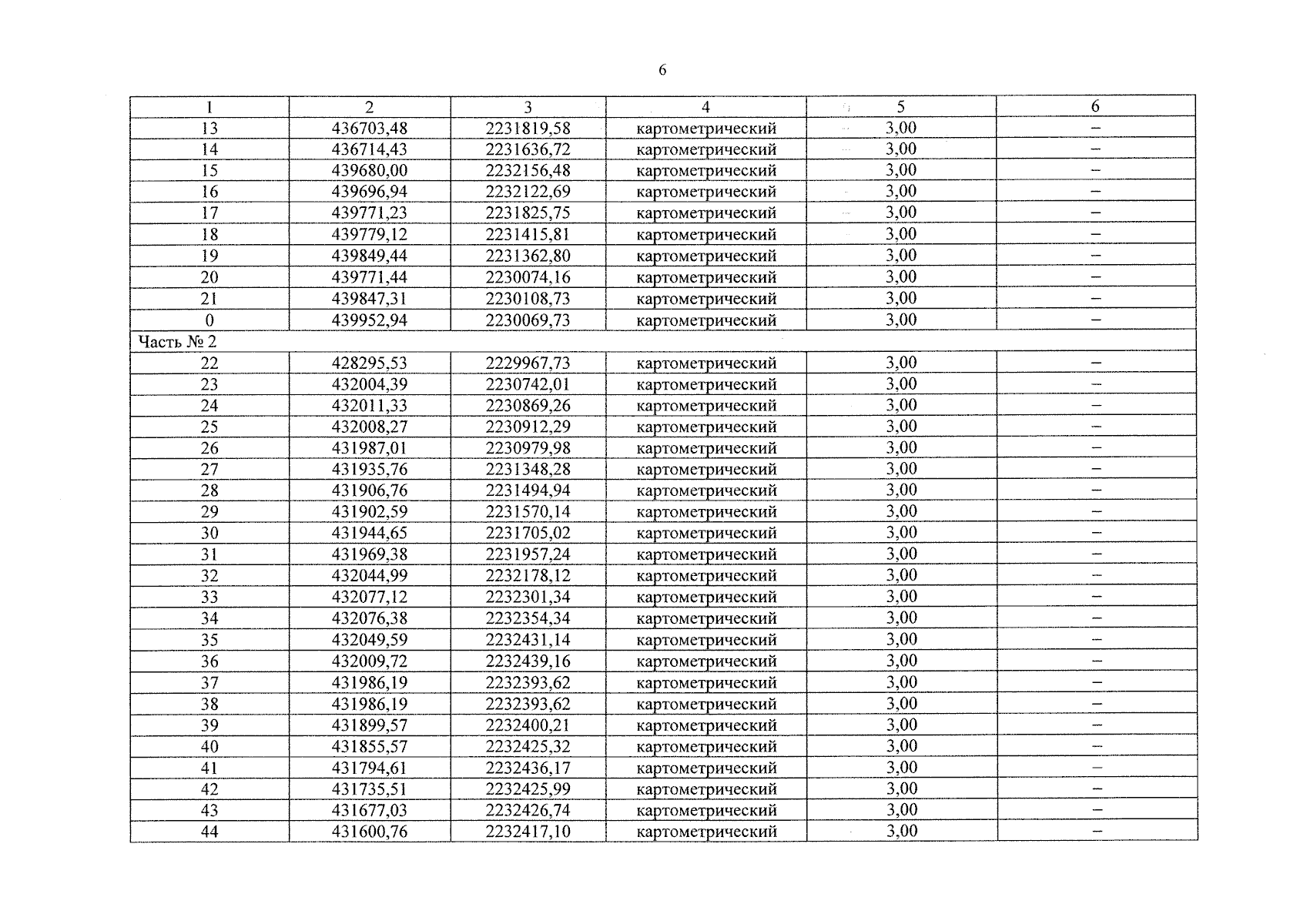
Указ Главы Республики Башкортостан от 22.11.2024 № УГ-1214
"О создании и установлении границ охранных зон природных парков"
Номер опубликования: 0200202411290005
Дата опубликования: 29.11.2024
Страница №15 из 21:
Увеличить