Официальное опубликование правовых актов
ОФИЦИАЛЬНОЕ ОПУБЛИКОВАНИЕ
Постановление Правительства Республики Башкортостан от 09.10.2024 № 431
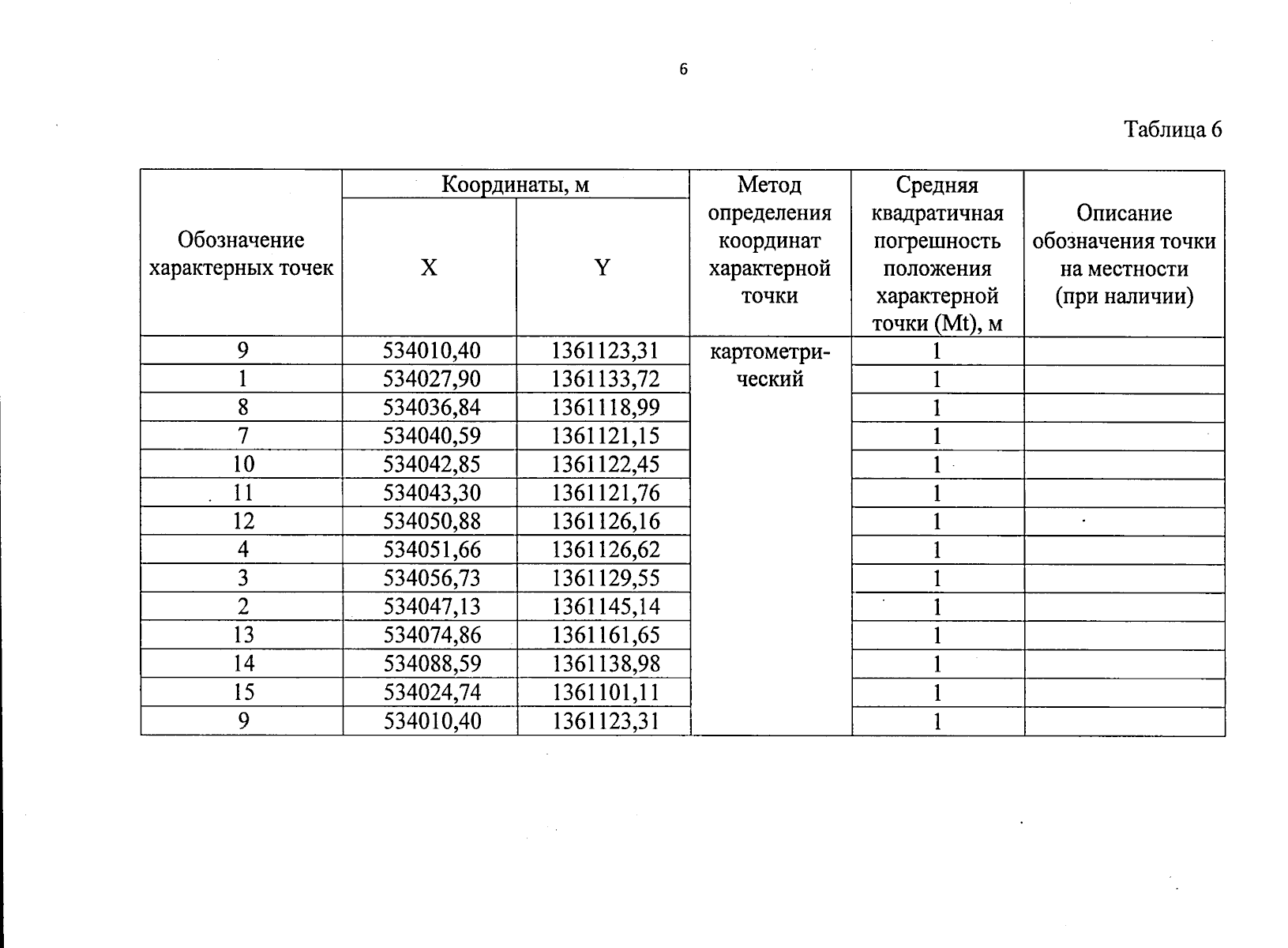
"Об утверждении границ зон охраны объекта культурного наследия регионального значения "Дом Милованова", расположенного по адресу: Республика Башкортостан, город Стерлитамак, ул. Мира, здание За, режимов использования земель и требований к градостроительным регламентам в границах территории данных зон"
Номер опубликования: 0200202410170003
Дата опубликования: 17.10.2024
Страница №8 из 17:
Увеличить