Официальное опубликование правовых актов
ОФИЦИАЛЬНОЕ ОПУБЛИКОВАНИЕ
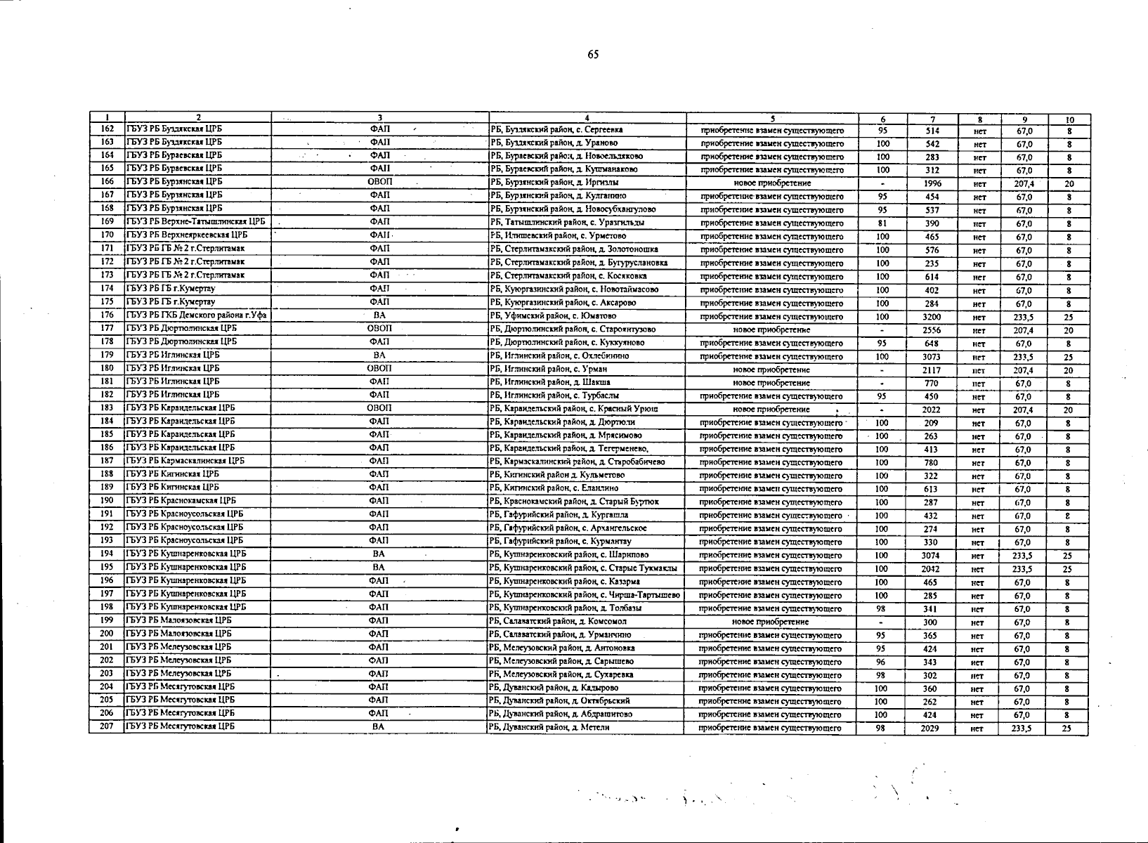
Постановление Правительства Республики Башкортостан от 27.09.2024 № 420
"О внесении изменений в региональную программу "Модернизация первичного звена здравоохранения Республики Башкортостан"
Номер опубликования: 0200202410040006
Дата опубликования: 04.10.2024
Страница №66 из 381:
Увеличить