Официальное опубликование правовых актов
ОФИЦИАЛЬНОЕ ОПУБЛИКОВАНИЕ
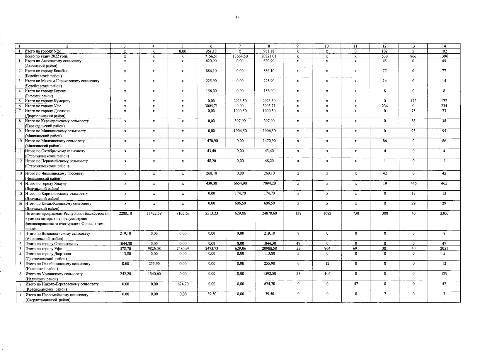
Постановление Правительства Республики Башкортостан от 25.01.2024 № 11
"О внесении изменений в Адресную программу Республики Башкортостан по переселению граждан из аварийного жилищного фонда на 2019-2023 годы"
Номер опубликования: 0200202402030001
Дата опубликования: 03.02.2024
Страница №16 из 16:
Увеличить