Официальное опубликование правовых актов
ОФИЦИАЛЬНОЕ ОПУБЛИКОВАНИЕ
Закон Республики Башкортостан от 02.11.2023 № 2-з
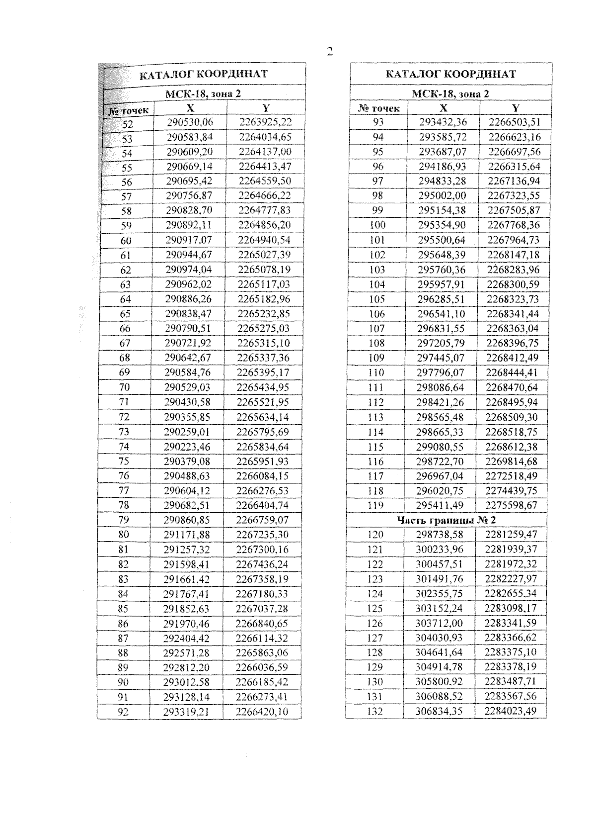
"Об утверждении Соглашения между Республикой Башкортостан и Удмуртской Республикой об описании местоположения частей границы между Республикой Башкортостан и Удмуртской Республикой, Дополнительного соглашения к Соглашению между Республикой Башкортостан и Удмуртской Республикой об описании местоположения частей границы между Республикой Башкортостан и Удмуртской Республикой, Соглашения между субъектами Российской Федерации – Республикой Башкортостан и Удмуртской Республикой об описании местоположения части границы между Республикой Башкортостан и Удмуртской Республикой"
Номер опубликования: 0200202311090008
Дата опубликования: 09.11.2023
Страница №12 из 140:
Увеличить