Официальное опубликование правовых актов
ОФИЦИАЛЬНОЕ ОПУБЛИКОВАНИЕ
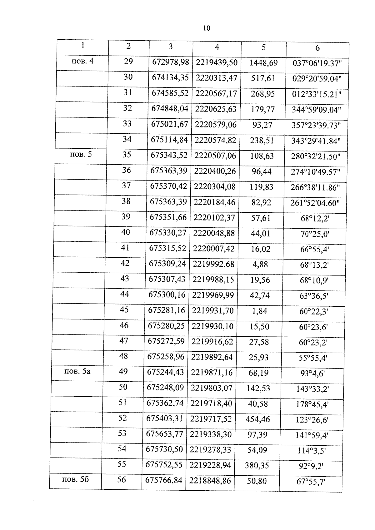
Закон Республики Башкортостан от 02.11.2023 № 1-з
"Об изменениях в административно-территориальном устройстве Республики Башкортостан и изменении границ отдельных муниципальных образований в Иглинском районе Республики Башкортостан"
Номер опубликования: 0200202311090007
Дата опубликования: 09.11.2023
Страница №10 из 13:
Увеличить