Официальное опубликование правовых актов
ОФИЦИАЛЬНОЕ ОПУБЛИКОВАНИЕ
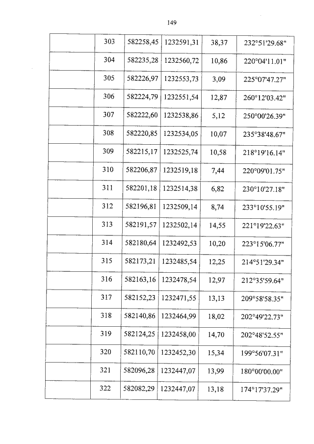
Закон Республики Башкортостан от 02.06.2022 № 562-з
"Об изменениях в административно-территориальном устройстве Республики Башкортостан и изменении границ отдельных муниципальных образований в Белебеевском районе Республики Башкортостан"
Номер опубликования: 0200202206070011
Дата опубликования: 07.06.2022
Страница №149 из 329:
Увеличить