Официальное опубликование правовых актов
ОФИЦИАЛЬНОЕ ОПУБЛИКОВАНИЕ
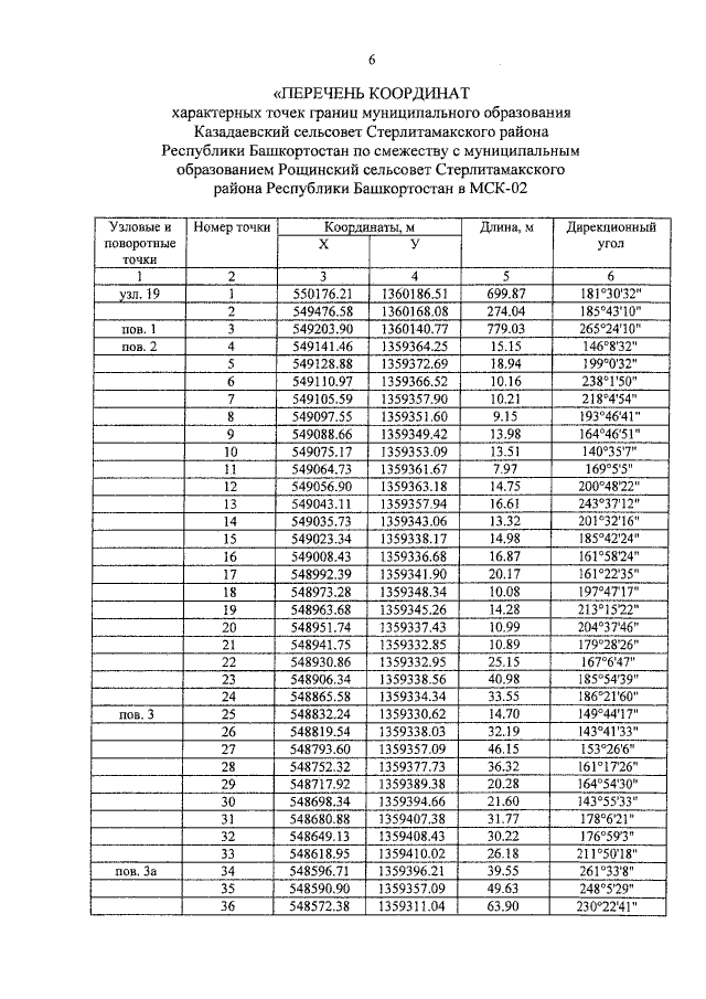
Закон Республики Башкортостан от 23.06.2021 № 421-з
"Об изменениях в административно-территориальном устройстве Республики Башкортостан и изменении границ отдельных муниципальных образований в Стерлитамакском районе Республики Башкортостан"
Номер опубликования: 0200202107010003
Дата опубликования: 01.07.2021
Страница №6 из 17:
Увеличить